DCR電流檢測架構之比較
摘要
電流檢測在DC/DC電壓調節器系統中扮演很重要角色,尤其是CPU電源VCORE應用中的多相位降壓轉換器。在VCORE應用中,電流信號會被用於決定下降負載線之特性,每相位之間的電流平衡,抽載電流回報,及過流保護等功能之中。此外,如果是採用電流模式的控制架構,電流信號甚至會直接影響系統的穩定性。因此,獲取準確的電流信號是非常重要的。
一般而言,因電感直流電阻(DCR)電流檢測法具有無損耗之優點,是被廣泛地應用於CPU之電壓調節器(VR)應用之中。然而,DCR電流檢測法需要將RC網路放置在電感旁,並且通常是很靠近於雜訊源的節點,如相位節點或其他PWM信號;因此它的雜訊會較高,進而降低電流檢測的精確度。此外,電流檢測運算放大器的偏移電壓和頻寬也可能減低所檢測之電流信號的精確度或使電流信號失真,這些都為獲得準確的電流信號帶來很大的挑戰。
本應用須知將介紹二種用於多相位穩壓器的電流檢測方法:差分電流檢測法,及總和電流檢測法。本應用須知將藉由理論分析及實驗結果,來比較這兩種電流檢測架構之間的差異。
1. DCR電流檢測架構
圖一顯示的是DCR電流檢測架構的基本電路,其中L是電感,DCR是此電感的直流電阻。電流檢測電阻RX和電容CX聯於電感。式(3)所示為電感電流和VCX電壓之間的關係。如果只考慮DC電流信號,式(3)可改寫如式(4)。若同時考慮DC和AC信號時,則式(3)可改寫如式(5)。若選擇適當的RX和CX,使得時間常數RX * CX滿足此關係式:L / DCR= RX * CX,則在DCR電流檢測網路的極點和零點會重合,並且相互抵消。如此一來,無論是從 DC或AC電流信號得到的VCX都會是相同的,即IL * DCR。

圖一、DCR電流檢測基本電路

將式 (2) 帶入式 (1)

只考慮DC 信號時,式(3)可簡化為式(4)。

若同時考慮DC 和 AC 信號時,式 (3) 可改寫為式 (5)。

將
定義為
2. 差分電流檢測架構之簡介
圖二為差分電流檢測架構的電路示意圖。電感電流是透過DCR電流檢測電容兩端的電壓來檢測的。由於運算放大器正、負輸入端近似於虛擬短路,電流檢測電阻RCS上的跨壓就相當於VCX電壓,如此又可將電容電壓VCX轉換成內部電流信號。每相位的電流信號分別去作該相位的電流平衡和過流保護之後,再將每相位的電流由電流鏡電路分別鏡射,然後相加,成為總電流信號。此總電流信號會注入連接於IMON接腳和VREF接腳之間的RIMON電阻網路,作為決定下降負載線之特性、回報總和電流、並提供輸出過流保護和DCR溫度補償的功能。

圖二、差分電流檢測架構
2.1 差分電流檢測架構之公式推導
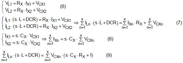
由圖二可知,電感電壓(VLn)等於電感電流(ILn)*(DCR + s · L);因此,式(6)可被改寫為式(7),而電容電流(IXn)可以式(8)來表示。將式(8)代入式(7),電感電流和電容電壓之間的關係可以式(9)來表示。

如果 RXCX 檢測網路的時間常數能匹配電感的時間常數LX / DCR,則式(9)可以被改寫如式(10)。藉由電流檢測電阻RCS,可將VCX電壓信號變成電流信號,且總檢測電流可用式(11)來表示。總檢測電流注入 RIMON 電阻網路之後,會進行溫度補償。被檢測到的 ΔVIMON電壓,可用於回報總電流和過流保護,並可用於決定作電壓準位設定的下降負載線之特性及其他用途等。

3. 總和電流檢測架構之簡介
圖三為總和電流檢測架構的電路示意圖。總和電流檢測架構是利用運算放大器作為加法器,把DCR檢測的電容電壓(VCXn)全部相加。電流檢測電阻(RSn)將檢測的電容電壓(VCXn)轉換成電流信號(ISn),而總電流流到Rsum電阻網路(可作任何所需的溫度補償)。藉由檢測Vsum電壓,即可得總電感電流訊息。此電流檢測架構只需三個接腳就可以檢測總電感電流,和差分電流檢測架構相比,可大為降低 IC 的接腳數。

圖三、總和電流檢測架構
以N相位的應用而言,若要檢測每相位的電流信號,總和電流檢測架構還需要額外的N個接腳。如圖四所示,每相位的電流信號均共用ISUM_N接腳;所以,和差分檢測架構相比,總和電流檢測架構使用的IC接腳數較少。
簡而言之,總和電流檢測架構共會使用到N + 3個接腳,包括檢測總和電流和每相位的電流訊息。在相位數超過3以上的多相位應用時,總和電流檢測架構所用的IC接腳數,會比差分檢測架構的少。

圖四、總和電流檢測架構的每相位電流的檢測電路
3.1 總和電流檢測架構之公式推導
參考圖三,並假設
,作為式(13),(14),(15)和(16)的最終形式。將
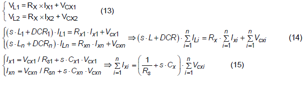
代入VLn,電感兩端的電壓即可表示如式(14)和電容電流IX可以表示如式(15)。將式(15)代入式(14),電感電流和電容電壓之間的關係可以表示如式(16)。


Vsum的表示式可以從式(17)和(18)得到。將式(16)代入式(18)之後,可導出Vsum和IL之間的關係,如式(19)。

如果檢測網路的時間常數(RX // RS)* CX能匹配電感的時間常數LX / DCR,也就是如式(20)所表示的,則式(19)即可化簡為式(21)。式(21)顯示Vsum值是和電感電流的總和成正比的。

4. 差分與總和電流檢測架構之比較
4.1 節省接腳之特點
如上所述,總和電流檢測架構利用加法器,將每個DCR電流檢測網路的電容電壓相加起來,因此,只需3個接腳即可獲得總電流的訊息。此外,總和電流檢測架構檢測僅需N個接腳,即可檢測N個個別相位的電流信號;相比之下,差分電流檢測架構卻需要2N個接腳,以得到N個相位的總電流和個別相位的電流訊息。換言之,只要相位數超過3,使用總和電流檢測架構就可以達到節省接腳的目的。
差分電流檢測架構不能使用單一ISENN接腳,這是因為運算放大器正、負端之間虛擬短路的特點。從圖二,如果只使用單一ISENN接腳,就如同兩個電壓源 (ISEN1P和ISEN2P) 被連在一起,若這兩個電壓是不相同的,此電路即違反了KVL定律。實際上,因為這兩點分別檢測來自不同相位的電感電流,所以這兩點的電壓是不會相同的。
4.2 每相位電流的精確度
雖然透過總和電流檢測架構和差分電流檢測架構都可精確地獲得總電流,但是,每個相位的電流信號卻不是如此。差分電流檢測架構因為是直接檢測DCR電流檢測電容的電壓,所以可得到每個相位精確的電流信號。將ISEN_N輸入接腳和負載VCORE點之間的印刷電路板的寄生電感和電阻考慮進來,當電流流過這些寄生元件時,就會在每一ISEN_N接腳引起一個電壓尖峰脈衝;然而,在差分電流檢測架構中,所引起的電壓尖峰脈衝也同時會在各ISEN_P接腳,所以正負端的差分值不會受到影響。由圖五電路模擬產生的波形顯示,即使在ISEN_N接腳上有一電壓尖峰脈衝,所檢測的電流依然正確。

圖五、在ISEN_N和ISEN_P接腳上,PCB上寄生元件所引起的電壓尖峰脈衝
然而,檢測每一相位的電流信號,總和電流架構是用共同的ISUM_N接腳,而非每相位各自的ISEN_N接腳(圖三)。因為共用ISUM_N接腳的電壓是各相位之檢測電容負端電壓的平均值,ISUM_N電壓和差分架構的ISEN_N點的(即電容)電壓稍有不同,特別是考慮到ISEN_N輸入接腳和負載VCORE點之間的PCB寄生電感和電阻。圖六(a)的電路模擬波形顯示所檢測的每相位的電流波形與PCB寄生元件所引起之雜訊的關係;因此,總和電流檢測架構的每相位電流精確度可能不如差分電流檢測架構的。
然而,加上適當的濾波元件是可以提高總和架構的性能的;可以在每個檢測電容的負端加上濾波元件,RF和CF,以將此節點和輸出負載點隔離。這雖會增加總和電流檢測架構佈局的複雜性,但卻可改善每相位電流的精確度。圖六(b)的電路模擬波形顯示在各相位都有RF和CF濾波元件時,所檢測的每相位電流之波形。

圖六、總和電流檢測架構與PCB寄生元件 (a) 濾波元件時的每相位電流 (b) 有濾波元件時的每相位電流
4.3 誤差範圍
(Tolerance Band) 之分析與商規
(Commercial Grade) 溫度規範
誤差範圍分析:
差分電流檢測法共需要N個電流檢測運算放大器,將所有電壓信號VCX轉換成電流信號。由於晶圓製程的漂移特性,每個電流檢測運算放大器之特性參數可能會有些不同,例如輸入偏移電壓,輸入偏壓電流...等。電流檢測運算放大器的偏移電壓會造成控制器無法正確檢測電流值,且會將電壓調節在錯誤的準位上,從而降低了輸出電壓和電流回報的準確性。為避免此現象,在IC內部,設計了一個能在IC啟動過程期間自校準的電路。由於差分電流檢測法需要校準N個電流檢測運算放大器,所以在相同的 IC 晶粒尺寸下,很難增加校準的精確度。因此,差分電流檢測法,可能會有較大的偏移電壓,因此就需要較窄的誤差範圍才能解決此問題。
然而,在總和電流檢測架構,在總電流信號的路徑上,僅需一個電流檢測運算放大器。因為只有一個運算放大器需要校準,在相同的IC晶粒尺寸下,它的自校準的精確度就可以增加,因此也可降低運算放大器的偏移電壓。在總和電流架構中,每相位的電流信號僅用於每相位的電流平衡和過流保護,並沒有直接用於決定輸出電壓準位的設定。因此,每相位的電流檢測運算放大器的誤差範圍可以較鬆一點,而每相位的電流檢測運算放大器之間輕微的不匹配是可以接受的。
商規溫度規範:
由於總和電流檢測架構的自校準精確度較高,能大為減低運算放大器的輸入偏移電壓,因此,可操作的溫度範圍可以較寬;也因此,總和電流檢測架構較易通過商規溫度規範。
表一、差分和總和電流檢測架構的比較
| |
差分電流檢測架構
|
總和電流檢測架構
|
|
IC接腳數
|
相位數 < 3時,較佳
|
相位數 > 3時,較佳
|
|
總和電流精確度
|
|
較佳
|
|
每相位電流的精確度
|
較佳
|
|
|
抗PCBESR和PCBESL引起的電壓尖鋒脈衝雜訊之免疫能力
|
較佳
|
|
|
PCB佈局複雜度
|
簡單
|
複雜
|
|
不受晶圓製程漂移的影響
|
|
較佳
|
|
誤差範圍和商規溫度規範
|
|
易通過
|
5. 差分和總和電流檢測架構的設計方法
以下將用RT8884和RT8893分別作為差分電流檢測架構和總和電流檢測架構的設計範例。這兩種晶片都是要符合英特爾VR12.5規格的。
|
VCORE規格
|
|
輸入電壓
|
10.8V to 13.2V
|
|
相位數
|
3
|
|
Vboot
|
1.7V
|
|
VDAC(MAX)
|
1.8V
|
|
ICCMAX
|
90A
|
|
ICC-DY
|
60A
|
|
ICC-TDC
|
55A
|
|
負載線
|
1.5mΩ
|
|
快速電壓迴轉率
|
12.5mV/μs
|
|
最大開關頻率
|
300kHz
|
在英特爾的Shark Bay VRTB指南中,桌上型平台的輸出濾波器的設計需求規範如下:
輸出電感:360nH/0.72mΩ
輸出大型電容:560µF/2.5V/5mΩ(max),4至5個
輸出陶瓷電容:22µF/0805 (在上層最多可放18個)
步驟1:決定電感的參數
輸出電感:360nH/0.72mΩ
步驟2:決定DCR電流檢測網路參數
選擇DCR電流檢測電容(CX)值。
CX = 1µF
由實驗中發現,若用0.1µF的電容,電流檢測的精確度在低電流狀態時會變差,故選擇1µF的電容。
決定DCR網路的時間常數比,Kτ。
如果 DCR網路的時間常數比,Kτ,小於1,即電容性的時間常數小於電感性的時間常數。這會造成電流檢測的AC增益比DC增益大,即在負載瞬態變化時,會增加DCR電流檢測的電容電壓 (VCX);並且也會使電壓準位過衝或下衝,增加了誤觸電流限制的可能性。若時間常數比大於1,所檢測到的電感漣波電流和瞬態電流的變化會變小,也會使電壓緩慢下降;然而,若檢測到的電感漣波過小,則會影響迴路的穩定性。因此,建議DCR網路的時間常數比最好是等於或稍大於1。在此設計範例中,是將時間常數比,Kτ,設為1。圖七顯示在負載瞬態變化時電路模擬的波形;其中,分別模擬三種不同DCR電流檢測的時間常數比 (Kτ),0.8、1和1.2,的情形,藉以瞭解KT對輸出電壓準位和所檢測之電流的影響。

圖七、在負載瞬態變化時,輸出電壓(VSEN)和VCX電壓在不同KT值時的波形
差分電流檢測:

總和電流檢測:

步驟3:計算RX和RS之值
決定RX和RS的電阻值。
差分電流檢測:

總和電流檢測:
為了總和電流檢測運算放大器的穩定性,Rsum和(RX + RS)之比建議為4,且建議Rsum值為4kΩ~6kΩ之間。RT8893應用中,Rsum選用16kΩ,所以(RX + RS)的總電阻值即為4k。要注意,高電阻值會降低「總和電流檢測」運算放大器的相位裕量。(例如:(RX + RS)= 4k,Rsum = 16kΩ,總和運算放大器的相位裕量約為45˚)。

藉由式(23),RX‧RS乘積值可以算出來,如式(26)。

結合式(25)和(26),得聯立方程式(27),並可用以求得RX和RS之值。將RX帶入RX‧RS,可得 RS的二次方程式。將上述所提到的數值均代入此式,則可分別得RS為3.41kΩ,而RX為0.59kΩ。

6.
實驗結果
由於在實際的應用中,CPU通常會要求VR回報抽載的情況,因此,VR會將檢測到的類比電流信號轉換成十六進位的數位碼,即數位IMON或DIMON。如果DIMON回報的是和CPU所抽載的電流值完全一樣,就表示VR能精確地檢測到抽載電流。圖八分別顯示使用兩種不同電流檢測架構時,DIMON電流檢測的結果。虛線是理想的抽載電流訊號;實線則是DIMON測量回報的結果。從實驗結果可知,總和電流檢測架構和差分電流檢測架構兩者均可以提供準確的總電感電流訊息。
|

(a) RT8884差分電流檢測架構
|

(b) RT8893總和電流檢測架構
|
圖八、使用兩種不同的電流檢測架構之 DIMON 電流檢測結果
圖九 (a)顯示的是差分電流檢測架構所測量的每相位電流檢測信號;由圖可見差分電流檢測架構具有很好的每相位電流精確度。圖(b)顯示的是總和電流檢測架構沒有過濾器元件的情形。由於總和電流架構是用一個共同ISUM_N接腳,而非使用直接檢測 DCR 電容的負端,每相位電流無法和差分電流檢測架構一樣的精確。圖(c)顯示的是總和電流檢測架構有過濾器元件在內的情形。從實驗結果可知,過濾器元件能夠大為改善每相位電流的精確度,但仍然是無法和差分電流檢測架構相比。
|

(a) RT8884差分電流檢測架構
|

(b) RT8893總和電流檢測架構 - 無濾波器元件
|
|

(c) RT8893總和電流檢測架構 – 含濾波器元件
|
圖九、不同電流檢測架構下,每相位的電流信號
7. 結論
本應用須知中探討兩種用於多相位調節器的電流檢測方法。總和電流檢測架構具有較好的總電流精確度,IC接腳數較少,和較易通過TOB規範等特點;而差分電流檢測架構則具有較好的每相位電流精確度和較高的抗寄生ESR和ESL雜訊的能力等特點。選擇電流檢測架構時,務將實際應用的需求考慮進來,即能找到最適合的電流檢測解決方案。
8. 參考資料
[1] 立錡科技, RT8884B規格書
[2] 立錡科技, RT8893A規格書